OEM対応/施策から量産まで対応
基本情報
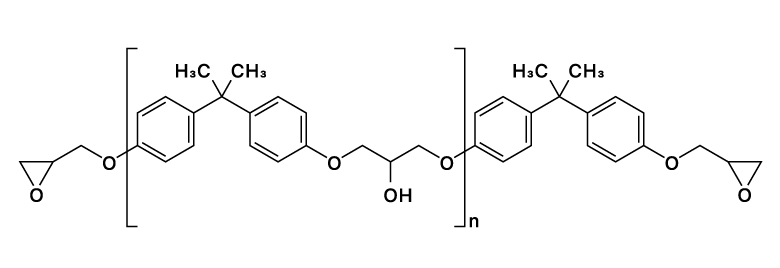
英語名
Poly(Bisphenol A-co-epichlorohydrin) glycidyl end-capped
Cas No.
25036-25-3
製品の特長
主な用途
• 接着剤 • 電子/電気材料 • 積層材
規格
製造国
中国
Product /
OEM対応/施策から量産まで対応
Poly(Bisphenol A-co-epichlorohydrin) glycidyl end-capped
25036-25-3
• 接着剤 • 電子/電気材料 • 積層材
中国